Page 17 - CITS Theft Guide
P. 17
1.4 After-Theft Recovery Systems
With many thefts of vehicles and equipment being carried out by organised crime gangs (OCG’s) it is advisable to fit a version of a tracking and recovery system that has been independently verified (i.e. Thatcham approved or Secured by Design) as fit for purpose, this should give maximum confidence that in the event of a theft the system will actually function.
Remote asset location devices to help locate stolen equipment and enable its recovery can be found in 3 types: A, B and C.
Type A: Stolen Vehicle Recovery (SVR) multi-location technology
Type A can be further broken down into 3 differing versions A1, A2 and A3.
A wired in or battery location device (which is harder for thieves to find) with Independent credentials, ideally from Thatcham or Secured by Design and usually approved by an Insurer, designed primarily to recover stolen equipment, fitted by an OEM manufacturer, an aftermarket installation engineer or via a competent self-Install with manufactures or certificating body guidance to verify said installation. In all cases the fit should comply with manufactures’ guidelines, be verified and logged at the time of the install.
A1 GPS, GSM and RF location for indoor or outdoor recovery either with or without GPS signals. Recovery without GPS signals will mean the need to deploy local RF signal finder*
A2 GSM and RF location for indoor or outdoor recovery without GPS, will always need to deploy RF signal finder*
A3 GPS location only must receive GPS signals and cannot be located if GPS jamming equipment is in use or if hidden from GPS satellite view.
It is worth noting that an active subscription is normally required for continuous monitoring to ensure the service can be activated.
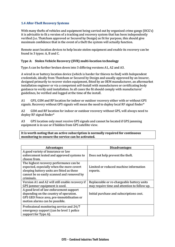
Advantages
A good variety of insurance or law enforcement tested and approved systems to choose from.
Version A1 and A2 will still enable recovery if GPS jammer equipment is used.
Professional monitoring service and 24/7 emergency support (can be level 1 police support for Type A).
Disadvantages
Does not help prevent the theft.
Replaceable or re-chargeable battery units may require time and attention to follow up.
The highest recovery performance can be expected, especially when the more covert sleeping battery units are fitted as these cannot be so easily scanned and removed by criminals.
Limited or reduced machine information reports.
A good level of law enforcement support depending on the country of operation. GPS GEO Fence area, pre-immobilisation or motion alarms can be possible.
Initial purchase and subscriptions cost.
CITS – Combined Industries Theft Solutions
c/o the CEA
Unit 19, The Omega Business Village
Thurston Road, North Allerton North Yorkshire
www.theftsolutions.org
DL6 2NJ

